Align Symbol Advanced

Symbol Properties, Align, More

Purpose

Use Align Advanced to align symbol items in compound symbols vertically or horizontally and modify their position.

Usually you should apply these options to symbol templates or to either create or adapt forms of compound symbols. Once you have created your symbol templates, store them in the User Symbols bar or even modify the templates in the Compound Symbols bar.

You should rarely need to apply these options directly to symbols in the staff.

 
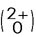
Compound Symbol with items center aligned:
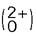
Compound Symbol with items left aligned:
Partial position with regular distance between items:
Partial position with additional distance:

Steps

  1. In the Symbol Properties dialog choose the Align tab.
  2. If the options for positioning and aligning symbol items are hidden, choose More.
  3. Use the mouse or the arrow keys to select a symbol item you want to align.
  4. To align symbol items horizontally or vertically,
    choose one of the options in the Symbol Items Horizontal or Vertical drop-down lists.

    Note: These options are only available when symbol items in a vertically or horizontally built compound symbol are selected.

    Note: Center aligning items with assymmetrical brackets sometimes produces better results when the brackets are ignored in the alignment calculation.
    To achieve this, choose the Ignore Brackets check box.

  5. You can change the placement among symbol items e.g. to make the items overlap.
    Change the offset value to change the item placement relative to the alignment axis.
    or
    Change the distance value to modify the distance between symbol items.
  6. Choose Apply.

See Also

Align Symbols

Build Symbols

Size Symbols